

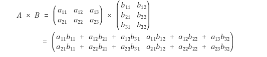
위의 행렬의 곱셈 규칙을 확인해가며 풀었습니다.
class Solution {
public int[][] solution(int[][] arr1, int[][] arr2) {
int[][] answer = new int[arr1.length][arr2[0].length];
for (int i = 0; i < arr1.length; i++) {
for (int j = 0; j < arr2[0].length; j++) {
int temp = 0;
for (int z = 0; z < arr2.length; z++) {
temp += arr1[i][z] * arr2[z][j];
}
answer[i][j] = temp;
}
}
return answer;
}
}
'🫧 코테 : CodingTest' 카테고리의 다른 글
| [백준] 1270 / 전쟁 - 땅따먹기 / java (0) | 2026.01.14 |
|---|---|
| [프로그래머스] 피로도 (Java) (2) | 2025.03.28 |
| [프로그래머스] Java : 무인도 여행(DFS) (9) | 2025.02.27 |
| [프로그래머스] Java : 귤 고르기 (2) | 2025.02.14 |
| [프로그래머스] Java : N개의 최소공배수 (2) | 2025.02.05 |